|
( )1.
有一甲蟲,由右圖中的A沿直線爬到B點再爬到O點,則下列哪一組數字分別表示位移及路程?
(A)-3、-11 (B)-3、11 (C)3、11 (D)3、-11。
( )2.
上圖為在同一地點甲、乙兩單擺的擺動次數與擺動時間之關係,若以L甲及L乙分別代表甲、乙二單擺的擺長,以M甲及M乙分別代表甲、乙兩單擺的擺錘質量,根據此圖,可推論下列何者正確?(兩單擺的擺角皆小於5度)
(A)L甲>L乙 (B)M甲<M乙 (C)甲擺的週期是20秒 (D)乙單擺擺動30次需30秒。
【解答】:(A)
( )3.
上圖為甲、乙、丙三人騎腳踏車沿一筆直公路前進的位置座標X與時間t的關係圖。當三人經過A點時,誰的速度最慢?
(A)甲 (B)乙 (C)丙 (D)無法比較。
【解答】:(C)
( )4.
如圖為高速公路旁的路標,下列敘述何者正確?
(A)圖中的數字代表位移大小 (B)嘉義與大林之間路程相距14公里 (C)路標直接顯示出大林在嘉義的南方 (D)路標所標示的數字是以嘉義交流道為參考點。
【解答】:(B)
( )5.
甲、乙物體之位置(X)與時間(t)關係如右圖,下列敘述何者錯誤﹖
(A)若甲向西運動,則乙向東運動 (B)乙物體的位置與時間關係為X=10+10t (C)甲物體速度的大小為5m/s (D)甲、乙兩物體1秒時在原點正方向15公尺處相遇。
【解答】:(B)
( )6.
以固定頻率的打點計時器紀錄小車在水平面上向右所做的直線運動,如右圖,下列有關此實驗的敘述何者正確?
(A)小車運動速率漸增 (B)小車運動方向和加速度方向相反 (C)紙帶上相鄰兩點距離愈大,時間間隔愈長 (D)紙帶上相鄰兩點距離愈小,小車運動速率愈大。
【解答】:(A)
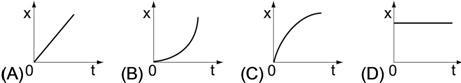
( )7.
伽利略將銅球由比薩斜塔靜止釋放,垂直落到地面,若以地面為參考點,且不計空氣阻力,則描述銅球運動過程之位置對時間的關係圖,下列何者最恰當?

【解答】:(C)
( )8.
承上題,關於銅球自由落下的敘述,何者正確?
(A)開始落下時,銅球初速度為零,加速度也為零 (B)銅球落下過程中,速度增加,加速度也增加 (C)銅球自由落下的過程,每秒的速度變化量愈來愈小 (D)銅球自由落下過程中越來越快,加速度均為9.8m/s2。
【解答】:(D)
( )9.
若伽利略由距地面垂直高度為44.1公尺的塔頂,同時釋放一鉛球與一銅球,已知兩球中質量以鉛球較大,體積則是銅球較大,則下列敘述何者正確?
(A)鉛球質量較大,所以先著地 (B)銅球體積大,所以先著地 (C)鉛球質量較大,所以著地時較快 (D)兩球皆在靜止釋放後3秒著地。
【解答】:(D)
( )10. 物體在一直線上朝同一方向運動,其位置與時間的關係如下表,此物體在0∼4秒內的平均速度為:
(A)+4m/s (B)-4m/s (C)+3m/s (D)-3m/s。
【解答】:(B)
( )11. 小角度的單擺運動,往復擺動一次所需時間,和下列哪一項有關?
(A)擺線的長度 (B)擺線的種類 (C)擺動的角度 (D)擺錘的質量。
【解答】:(A)

( )12. 小蘭的運動關係圖如右,問途中小蘭的運動方向總共改變幾次?
(A)1次 (B)2次 (C)3次 (D)4次。
【解答】:(B)
( )13. 平常我們說某一廠牌的汽車最快可跑300公里/小時,指的是該汽車的:
(A)平均速度 (B)平均速率 (C)瞬時速度 (D)瞬時速率。
【解答】:(D)
( )14. 一隻玩具熊垂直上拋後自由落下,不計空氣阻力,下列敘述何者正確?
(A)上升所需的時間與落下所需的時間相同 (B)上升到最高點瞬間靜止,速度為零,不受重力作用 (C)上升時加速度方向向上,下降時加速度方向向下,但加速度大小相等 (D)上升和下降過程中,位移和加速度的方向均相同。
【解答】:(A)
( )15. 承上題,若以速度對時間的關係圖來描述玩具熊的運動過程,則下列何者最恰當?

【解答】:(D)
【題組】小毛和小利在東西向直線道路上做直線運動,以東方為正,運動關係圖如下,請回答下列問題:
( )16. 關於出發點與運動方向的敘述,何者必定正確?
(A)小毛從原點出發,一直向東運動 (B)小利從原點出發,一直向東運動 (C)小毛0∼3秒向東運動,9∼11秒向西折返 (D)小利0∼3秒向東運動,9∼11秒向西折返。
【解答】:(C)
( )17. 關於速度的敘述,下列何者正確?
(A)小毛初速度為零,0∼3秒的平均速度為1m/s (B)小利初速度為零,0∼3秒的平均速度為1m/s (C)小毛3-9秒靜止不動,第10秒時瞬時速度為-1.5m/s (D)小利3-9秒等速度運動,第10秒時瞬時速度為-1.5m/s。
【解答】:(C)
( )18. 關於位移與速度變化的敘述,下列何者正確?
(A)0∼3秒小毛越走越快,位移為向東3m (B)3∼9秒小毛速度不變,位移為向東9m (C)3∼9秒小利速度不變,位移為向東18m (D)9∼11秒小利越走越慢,位移為向西3m。
【解答】:(C)
( )19. 滑車實驗利用打點計時器,打點紙帶如右圖,已知振動器頻率20次/秒,點間距離單位為公分,下列何者錯誤?
(A)A、C間平均速度為60cm/s (B)C點的瞬時速度為80cm/s (C)A點的瞬時速度為50cm/s (D)B、C間平均加速度為200cm/s2。
【解答】:(C)
( )20. 梅利號火箭試射失敗,其速度與時間關係圖如右,則下列敘述何者正確?
(A)0-5秒火箭向上升空,加速度為20m/s (B)第5秒時火箭位置到達最高點 (C)第10秒時火箭正在墜落 (D)第25秒時火箭未落至地面。
【解答】:(D)
( )21. 如圖的坐標系中,0為原點,則下列何項錯誤?
(A)A的坐標是(3,2) (B)C的坐標是(9,3) (C)以C為原點,B的坐標是(4,-3) (D)以C為原點,A的坐標是(-6,-1)。
【解答】:(C)
( )22. 南二高速公路目前對大客車的最高時速限制為100Km/hr,則此最高時速限制指的是什麼?
(A)瞬時速度 (B)瞬時速率 (C)平均速度 (D)平均速率。
【解答】:(B)
( )23. 下列有關位移與路程的區別敘述,何者正確?
(A)位移的大小恆大於路程的大小 (B)位移的大小恆小於路程的大小 (C)位移的大小不可能等於路程的大小 (D)位移有方向,路程則無。
【解答】:(D)
( )24. 下列各位置坐標(x)對時間(t)的關係圖,何者表示物體靜止?

【解答】:(B)
( )25. 如圖,一物體作直線運動,自A點向右移動到B點,再由B點折返移動到C點,則總位移及總路程分別為多少?
(A)總位移-3cm,總路程15cm (B)總位移-3cm,總路程9cm (C)總位移3cm,總路程15cm (D)總位移3cm,總路程9cm。
【解答】:(A)
( )26. 物體在直線上朝同一方向運動,其位置與時間的關係如右表,此物體在0∼4秒內的平均速度為:
(A)-4 (B)+4 (C)-3 (D)+3m/s。
【解答】:(A)

( )27. 沿直線等速度運動的某物體,其位置與時間的關係如右圖,則第1秒末的瞬時速度為:
(A)+3 m/s (B)+1.5 m/s (C)-3 m/s (D)-1.5 m/s。
【解答】:(D)
( )28. 有關等加速度運動的敘述,下列何者正確?
(A)加速度均勻變化的運動 (B)速度愈來愈快的運動 (C)汽車做等加速度運動 (D)單位時間的速度變化量都相等的運動。
【解答】:(D)
( )29. 如圖為一物體運動的位置(x)-時間(t)關係圖,下列何者錯誤?
(A)0∼5秒的平均速度等於2公尺/秒 (B)10∼20秒的平均速度等於0 (C)30∼40秒的平均速度等於1公尺/秒 (D)0∼40秒的平均速度等於零。
【解答】:(C)
( )30. 自由落體是一種:
(A)初速不為零的等加速度運動 (B)初速不為零的等速度運動 (C)初速為零的等速度運動 (D)初速為零的等加速度運動。
【解答】:(D)
( )31. 右圖為甲、乙、丙三車位置對時間的關係圖,三車的速度大小順序何者正確?
(A)丙>乙>甲 (B)甲>乙>丙 (C)丙>甲>乙 (D)乙>丙>甲。
【解答】:(A)
( )32. 關於物體的加速度,以下說法正確的是:
(A)加速度的方向一定與速度的方向相同 (B)速度為零,加速度必為零 (C)加速度減少,速度必減少 (D)加速度一定時,物體做等加速度運動。
【解答】:(D)
( )33. 一物體作直線運動,位置(X)與時間(t)關係,如右圖,則下列何者可表示此運動物體的位置與時間關係?
(A)X=10+10t (B)X=10+20t (C)X=10+5t (D)X=5+10t。
【解答】:(C)
( )34. 滑車實驗利用打點計時器,打點紙帶如右圖,已知振動器頻率10次/秒,點間距離單位用公分,其加速度大小?
(A)10 cm/s2 (B)20 cm/s2 (C)40 cm/s2 (D)50 cm/s2。
【解答】:(D)
( )35. 承上題,A點時的速度大小為何?
(A)20cm/s (B)2m/s (C)200cm/s (D)0.2cm/s。
【解答】:(A)
( )36. 阿民將棒球由高樓自由落下,不計空氣阻力,經9秒後,棒球落至地面,接著阿民又將一較輕的壘球由同高處自由落下,則經幾秒後,排球會落至地面?
(A)3 (B)6 (C)9 (D)12。
【解答】:(C)
( )37. 如果汽車的加速度方向與速度方向相反,則加速度減小時,下列敘述何者正確?
(A)汽車的速度也減小 (B)汽車的速度會增大 (C)當加速度減小到零時,汽車靜止 (D)汽車做等加速度運動。
【解答】:(A)
( )38. 由地面以20m/s速度垂直上拋一球,當其達最高點時,加速度為:
(A)0m/s2 (B)20m/s2 (C)9.8m/s2 (D)980m/s2。
【解答】:(C)
( )39. 向東沿直線作等加速度運動的某質點,其速度與時間的關係如右表,則質點的加速度為何?
(A)向西3m/s2 (B)向東3m/s2 (C)向西3m/s (D)向東3m/s。
【解答】:(A)
( )40. 物體由靜止以等加速度2.5m/s2開始運動,經過若干秒後物體的速度為15m/s?
(A)1 (B)3 (C)5 (D)6。
【解答】:(D)
( )41. 如圖為甲、乙兩車之v-t圖,圖中兩直線斜向平行,下列敘述,哪一選項錯誤?
(A)甲車加速度比乙車大 (B)甲車初速度比乙車大 (C)甲、乙兩車皆做等加速度運動 (D)相同時間間隔內,甲車所走的距離比乙車大。
【解答】:(A)
( )42. 關於物體的加速度,下列敘述何者正確?
(A)加速度為零,速度必為零 (B)加速度的方向一定與速度的方向相同 (C)加速度減小,速度必減小 (D)加速度減小,速度還是可能變快。
【解答】:(D)

( )43. 將玻璃管中的空氣抽去後,從管頂同時讓羽毛和銅幣自由落下,如右圖,下列敘述何者正確?
(A)銅幣先到達管底 (B)羽毛不受重力作用 (C)羽毛和銅幣到達管底的速度相同 (D)羽毛到達管底的速率較銅幣小。
【解答】:(C)
( )44. 從空中自由落下一物體,4秒後抵達地面,那麼抵達地面的瞬時速度為:
(A)9.8m/s (B)19.6m/s (C)39.2m/s (D)44.1m/s。
【解答】:(C)
( )45. 某車在一條直線道路上行駛的速度和時間的關係圖,如右圖,此車在2秒內所行的距離為:
(A)2公尺 (B)6公尺 (C)20公尺 (D)26公尺。
【解答】:(D)
( )46. 下列有關自由落體的敘述何者正確?
(A)物體開始落下時,速度為零,加速度也為零 (B)物體落下過程中,速度增加,加速度增加 (C)物體落下過程中,每秒的速度變化量相等 (D)物體落下過程中,速度和加速度同時增大。
【解答】:(C)
( )47. 某機車在直線上行駛其速度對時間的關係如右圖,此機車在1秒時的瞬時加速度為幾公尺/秒2?(A)1 (B)1.25 (C)2.5 (D)3.75。
【解答】:(B)
( )48. 將一小球鉛直上拋,忽略空氣阻力的作用,達最高點時速度為零,繼而下墜至原處,有關小球的運動情形,下列敘述何者正確?
(A)上升和下降過程中,加速度的大小和方向都相同 (B)在最高點時靜止,加速度為零 (C)上升時加速度方向向上,下降時加速度方向向下 (D)上升時加速度方向向下,下降時加速度方向向上。
【解答】:(A)
( )49. 將一球由高樓處自由落下,不考慮空氣阻力,經2.5秒後球落至地面,則球落地時的瞬時速度為幾公尺/秒?
(A)2.5 (B)10.0 (C)25.0 (D)30.0(該處的重力加速度值=10.0公尺/秒2)
【解答】:(C)
( )50. 在筆直公路上以15公尺/秒速度行駛的車子,以-3公尺/秒2的加速度剎車,第4秒時的車速為何?
(A)15 (B)4 (C)3 (D)-3公尺/秒
【解答】:(C)
( )51. 如右上的表,是一物體做直線運動的時間與位置紀錄表,則此物體之位置(X)對時間(t)關係圖為何?

【解答】:(C)
( )52. 右圖是甲、乙兩車的位置(x)與時間(t)關係,則下列敘述何者錯誤?
(A)若甲向北運動,則乙向南 (B)甲車的速度大小為2m/s (C)乙車的速度大小為─2m/s (D)甲乙兩車在5秒時相遇。
【解答】:(B)
( )53. A、B、C三單擺擺角關係為: ,擺錘質量關係為:mC>mB>mA,擺長關係為:LA>LB>LC,則A、B、C單擺週期何者最大?
(A)A (B)B (C)C (D)皆相等。
【解答】:(A)
( )54. 將一球由高樓處落下,球的v-t關係如附圖(向下為正),若球飛行8秒後著地。下列何者錯誤?
(A)球作等加速度直線運動 (B)最初4秒內,球的加速度漸減 (C)4秒內,球的速度漸增 (D)4秒後,球所受的合力為零 (E)著地前1秒內,球下落的距離為12公尺。
【解答】:(A)
( )55. 右圖表示同一地點甲、乙兩單擺的擺動次數與擺動時間關係,若以L甲及L乙分別代表甲、乙兩單擺的擺長,以M甲及M乙分別代表甲、乙兩單擺的擺錘質量,則下列關係何者正確?(甲、乙兩單擺的擺角皆小於5度)
(A)L甲<L乙 (B)M甲<M乙 (C)L甲>L乙 (D)M甲>M乙。
【解答】:(C)
( )56. 承上題,若另有一單擺丙,其擺長為L甲與L乙之和,則其擺動次數與擺動時間之關係應在圖中的那一個區域內?
(A)Ⅰ區 (B)Ⅱ區 (C)Ⅲ區。
【解答】:(A)
( )57. 如圖,是運動體之位置-時間關係圖,下列何者錯誤?
(A)物體在0到4秒間是作等速度運動 (B)物體在4到6秒間是作等速度運動 (C)物體在4到6秒間的速度方向與0到4秒間的速度方向相反 (D)物體在0到6秒間是作等加速度運動。
【解答】:(D)
( )58. 下列有關自由落體的敘述(不計空氣阻力),何者正確?
(A)物體質量不同時,落下的加速度也不相等 (B)落下高度不同時,落下的加速度也不相等 (C)物體落下過程中,速度和加速度同時增大 (D)物體落下過程中,每秒的速度變化量相等
【解答】:(D)
( )59. 甲、乙、丙三人騎腳踏車沿筆直的公路向東前進,0至5秒期間距離出發點的位置和時間的關係記錄,如下表所示,則在第4秒和第5秒之間,何者的位移最大?
(A)甲 (B)乙 (C)丙 (D)三者相同。
【解答】:(C)
( )60. 時鐘分針長度為9公分,試問在12點到12點30分間,該時鐘的分針尖端移動之平均速度大小為何?
(A)0.0001m/s (B)0.001m/s (C)0.01m/s (D)0.1m/s。
【解答】:(A)
( )61. 右圖為甲、乙、丙三人騎腳踏車沿一筆直公路前進的位置坐標x與時間t的關係圖。當三人經過A點時,誰的速度最快?
(A)甲 (B)乙 (C)丙 (D)無法比較。
【解答】:(A)
( )62. 若汽車加速度方向與速度方向一致,則加速度減小時,下列何者正確?
(A)汽車的速度也減小 (B)汽車的速度仍在增大 (C)當加速度減小到零時,汽車靜止 (D)汽車做等加速度運動。
【解答】:(B)
( )63. 某人沿一直線街道以等速步行到郵局去寄信,再以原來的速率步行返回原處。如果出發的方向為正,則能近似描寫其運動情況的速度-時間闗係圖為何?

【解答】:(B)
( )64. 將打點計時器的頻率固定,以不同的速度拉動甲、乙、丙、丁紙帶,四段紙帶的長度都相同,請問下列敘述何者正確?
(A)紙帶甲的加速度小於乙 (B)紙帶乙的平均速度大於甲 (C)紙帶丙的加速度大於零 (D)紙帶丁的速度愈來愈慢。
【解答】:(B)
( )65. 關於物體的加速度,以下何者說法正確?
(A)速度為零,加速度必為零 (B)加速度的方向一定與速度的方向相同 (C)加速度減少,速度必減少 (D)加速度一定時,物體可能做等加速度運動。
【解答】:(D)
( )66. 根據下列圖形,判斷何者不是等速度運動?

【解答】:(C)
( )67. 物體向左拉動紙帶,打點計時器的紙帶打點記錄如下圖所示,則從哪一點開始物體所受之合力為零?
(A)C (B)D (C)E (D)F。
【解答】:(C)
( )68. 小隆研究擺的運動,其實驗數據如下表,假設擺動週期與「擺長」、「擺錘質量」及「擺角」等因素有關,根據右表資料,下列何一個敘述或推論錯誤?
(A)由擺長無法得知其與擺動週期關係 (B)無法由擺錘質量判斷其與擺動週期關係 (C)擺角介於2°∼5°時,擺動週期與擺角無關 (D)擺長與擺錘質量為操縱變因;擺角為控制變因
【解答】:(D)
( )69. 承75題,若將此物體的位置-時間關係圖轉為速度-時間的關係圖,應為下列何者?

【解答】:(D)
( )70. 甲、乙兩車在同一直線上運動,位置-時間關係如右圖,下列何者正確?
(A)在第5秒時,甲乙兩車的速度相等 (B)兩車在第5秒時相遇 (C)兩車在第10秒時的速度為零 (D)兩車均為等加速度運動。
【解答】:(B)
( )71. 有關等加速度運動的敘述,何者正確?
(A)速度愈來愈快的運動 (B)自由落體是一種初速度為零的等加速度運動 (C)單位時間的位置變化量都相等的運動 (D)等加速度運動其加速度方向並不固定。
【解答】:(B)
( )72. A、B兩車運動的位置-時間關係如右圖,下列敘述何者正確?
(A)A車比B車先出發 (B)在0∼t1期間,B車的速率比A車小,t2後B車的速率才大於A車。 (C)在t2時,B和A車的速率相等 (D)在t1時,A車在B車前方。
【解答】:(D)
( )73. 丁丁由靜止向北方出發,運動情形如右圖,下列何者正確?
(A)0∼5秒間,丁丁做等速度運動 (B)在5∼11秒時,丁丁一直在減速 (C)丁丁共折返(轉換方向)一次 (D)0∼25秒,丁丁的平均速度為0m/s。
【解答】:(C)
( )74. 承上題,第25秒時,距離出發點的方向與距離分別為何?
(A)東方25公尺處 (B)北方30公尺處 (C)南方45公尺處 (D)恰好回到出發點。
【解答】:(C)
( )75. 右圖,為一物體運動的位置-時間關係圖,下列敘述何者正確?
(A)0∼5秒的平均速度等於1公尺/秒 (B)0∼20秒的平均速度等於1公尺/秒 (C)20∼30秒的平均速度等於1公尺/秒 (D)0∼40秒的平均速度等於1公尺/秒。
【解答】:(B)

( )76. 右圖為甲、乙、丙三人騎腳踏車沿一筆直公路前進的位置x與時間t的關係圖,若以北方為正,則下列敘述何者正確?
(A)甲和乙的出發點不同 (B)乙和丙的出發時間不同 (C)當三人經過A點時,甲的速度最快 (D)三人均向東北方前進。
【解答】:(C)
( )77. 小潔上街購物,所經歷的位置與時間的關係如圖。有關整段路程的敘述,下列何者正確?
(A)小潔共走了160公尺 (B)小潔的平均速度為20公尺/分 (C)小潔共停了2次 (D)小潔平均速率為0公尺/分。
【解答】:(C)
( )78. 測量某部車在100公尺的運動過程中,第六秒末的速度為10.2公尺/秒,第十秒末到達終點時的速度是10.4公尺/秒,則此部車在這100公尺內的平均速度為多少?
(A)10.0公尺/秒 (B)10.2公尺/秒 (C)10.3公尺/秒 (D)10.4公尺/秒。
【解答】:(A)
( )79. 一物體由靜止作等加速直線運動,最初2秒走了10m,若全部行程為250m,則走完全程尚需若干秒?
(A)8秒 (B)10秒 (C)12秒 (D)15秒。
【解答】:(A)
( )80. 承上題,試問此物體的加速度大小為多少m/s2?
(A)25 (B)20 (C)10 (D)5m/s2。
【解答】:(D)
( )81. 在一條筆直的山路上,某車上山速率為4.0公里/小時,下山速率為6.0公里/小時,則某車往返一趟,平均速率為多少公里/小時?
(A)0公里/小時 (B)4.0公里/小時 (C)5.0公里/小時 (D)4.8公里/小時。
【解答】:(D)
( )82. 「7-11便利商店在蘆洲國中大門前方約30m處」,請問這句話的參考點是什麼?
(A)7-11便利商店 (B)蘆洲國中大門 (C)說話者 (D)聽者。
【解答】:(B)
( )83. 下列那一個物理量是具有方向性的?
(A)加速度 (B)路程 (C)速率 (D)密度。
【解答】:(A)
( )84. 小志沿一直線行走,若向東方為正值,其時間與位置的關係圖如右圖,試問小志在20秒內的位移與路徑長多少?
(A)位移9公分向東,路徑長24公分
(B)位移24公分向東,路徑長6公分 (C)位移6公分向西,路徑長24公分 (D)位移9公分向西,路徑長6公分。
【解答】:(C)
( )85. 如圖之x-t圖係表示某一物體由靜止而移動時其位置與時間之關係圖;則其速度與時間之關係圖,下列何者表示最為正確?

【解答】:(D)
( )86. 阿力將一球由高處自由落下(不計空氣阻力),已知球於第二秒內落下15公尺,試問此球在第五秒內,落下距離為多少?(假設此顆球尚未落地)
(A)15 (B)37.5 (C)45 (D)75公尺。
【解答】:(C)
( )87. 右圖為小勝沿一直線運動的速度和時間關係圖,試問他在10分鐘內的位移多少?
(A)36 (B)8 (C)44 (D)28m。
【解答】:(A)
( )88. 一輛汽車在南北向直線高速公路上向南行駛,當車速到達108km/hr時,發現有測速相機,駕駛立刻在2秒內將車速變為72km/h,則此車的平均加速度為何?
(A)5 向南 (B)5 向北 (C)18 向南 (D)18 向北。
【解答】:(B)
(
)89. 小華與小明兩人沿同一直線移動,位置(x)與時間(t)的關係如右圖,下列敘述何者正確?
(A)兩人出發地點相同 (B)3秒內,兩人平均速度相同 (C)第2秒時,小明在小華前方 (D)第3秒的瞬時速度,小明>小華。
【解答】:(D)
( )90. 承上題,則下列何者可表示小華位置(x)與時間(t)的關係?
(A)x=10+30t (B)x=30+10t (C)x=60-10t (D)x=60+10t。
【解答】:(D)
( )91. 下列有關太陽日與測量時間的敘述,何者正確?
(A)太陽高度角連續兩次出現最大值所經過的時間,稱為平均太陽日 (B)在同一年中,各個太陽日的長短均相等 (C)一個平均太陽日等於86400秒 (D)現在公制單位中所使用的時間單位「秒」,是根據石英鐘所制定的。
【解答】:(C)
( )92. 下列哪個圖形不是等加速度運動的示意圖?

【解答】:(B)
( )93. 某日小花上課時望著牆上的時鐘發呆,發現秒針尖端的運動不屬於下列何種運動?
(A)加速度 (B)等加速度 (C)等速率
(D)變速度。
【解答】:(B)
( )94. 一物體若同時受有許多力作用,且此許多力之合力為零,則此物體:
(A)必定靜止 (B)必定在運動 (C)可能靜止或作等速運動 (D)必作等加速度運動。
【解答】:(C)
( )95. 如圖,甲、乙兩圖是進行滑車速度測量實驗時,利用兩個不同的打點計時器,分別在甲、乙兩小車拉動紙帶時所打的點痕。甲圖紙帶上相鄰兩點的距離皆為0.5cm,乙圖紙帶上相鄰兩點的距離皆為1.0cm。若甲圖的打點計時器頻率為10Hz,乙圖的打點計時器頻率為20Hz,則甲、乙兩小車運動速率的關係,下列何者正確?(註:1Hz=1次╱秒)
(A)甲車的速率>乙車的速率 (B)甲車的速率=乙車的速率 (C)甲車的速率<乙車的速率 (D)資料不足,無法判斷。
【解答】:(C)
( )96. 承上題,甲車紙帶表示甲車作何種運動?
(A)靜止 (B)等速度 (C)等加速度 (D)變加速度。
【解答】:(B)
( )97. 小涵參加直線折返跑比賽,如圖是他比賽過程中速度與時間關係圖,則在比賽過程中,他跑步速度的方向總共改變幾次?
(A)2 (B)3 (C)4 (D)5。
【解答】:(A)
( )98. 某物的加速度為2m/s2,意思是說
(A)該物每秒速度增加2m/s (B)該物的速度是2m/s (C)該物每秒只能移動2m (D)該物每移動1m需2秒。
【解答】:(A)
(
)99. 假設由高空等速度落下的雨滴受到三個力作用,分別為重力(W)、空氣阻力(R)、空氣浮力 (B)。下列關於這三個力的敘述,何者正確?
(A)W=R+B (B)B=W+R (C)R=W+B (D)W=R=B。
【解答】:(A)
( )100. 下表為某一物體做斜面運動的時間與位置紀錄表。試問此物體在0∼5秒內的運動情形為何?
(A)等速度運動 (B)其加速度和速度方向相反 (C)此物體之速率越來越大 (D)此物體之加速度越來越小。
【解答】:(B)
( )101. 承上題,此物體的平均加速度為何?
(A)1 (B)2 (C)-1 (D)-2 。
【解答】:(C)
( )102. 有一部車的速度-時間關係如下圖所示。假設車子向前的速度為正值,則下列敘述何者正確?
(A)最初10秒內,此部車應在倒車向後退 (B)最初10秒內,此部車的平均加速度為-1.5 (C)第5秒時,此部車的瞬時加速度為-2.5 (D)第20秒時,此部車是行進狀態。
【解答】:(C)
( )103. 若不計空氣阻力,在一高樓上將一個5公斤重的磚塊由樓頂靜止落下至地面需時3秒,若將磚塊改為10公斤重的鐵球自同處靜止落下至地面,則大約需時多久?
(A)9秒 (B)6秒 (C)3秒 (D)1.5秒。
【解答】:(C)
( )104. 水火箭由靜止狀態以8m/s2的加速度由升空,升空後15秒失去動力,試問再過幾秒後,水火箭會開始下降?(重力加速度大小g=10m/s2)
(A)馬上開始下降 (B)10秒後 (C)12秒後 (D)15秒後。
【解答】:(C)
( )105. 下列各劃雙底線的物體運動狀態中,何者必為等加速度運動?
(A)擺動中的老鐘擺 (B)時鐘分針規律行走 (C)健民揮棒將棒球擊出後,棒球在無風球場中飛向全壘打牆的過程(不計空氣阻力) (D)在強風中,由空中墜落的廣告招牌。
【解答】:(C)
(
)106. 自高塔頂端靜止落下一鐵塊。不考慮空氣阻力,如果此一鐵塊是自由落體,經4秒鐘後著地,試問塔高多少公尺?
(A)78.4公尺 (B)784公尺 (C)16公尺 (D)160公尺。(g=9.8 )。
【解答】:(A)
( )107. 承上題,此鐵塊著地時的速度為何?
(A)19.6m/s (B)24.5m/s (C)29.4m/s (D)39.2m/s。
【解答】:(D)
( )108. 小強做擺的實驗,他設計了兩個擺,實驗後,將擺動次數和時間繪製如圖,則下列敘述何者正確?
(A)B的擺長較A的擺長短
(B)擺動時間和擺動次數成反比 (C)B單擺的週期為1/3秒 (D)若將B擺長接在A擺長的下方,重做此實驗,其關係圖應落在圖中丙區。
【解答】:(D)
( )109. 在小角度的單擺實驗中,固定擺長為64公分,擺錘質量為40公克,測得來回擺動10次需時16秒。若擺長不變,擺錘質量改為60公克,則此單擺的週期為多少秒?
(A)1.6秒 (B)2.4秒 (C)16秒
(D)24秒。
【解答】:(A)
( )110. 甲、乙、丙三位同學下課盪鞦韆,如右圖(a)所示,老師測量後,畫出每位同學的擺動次數-時間圖,如右圖 (B),則以下配對何者正確?
(A)乙-B、甲-C (B)乙-C、丙-A (C)丙-B、甲-A (D)乙-C、甲-A圖(a)圖。
【解答】:(B)
( )111. 有關物體運動過程中,各項物理間的關係,下列敘述何者完全正確?
(A)若位移為正,則加速度必為正 (B)若速度為正,則加速度必為正 (C)若位移為負,加速度可能為正
(D)若加速度為負,運動速度必定越來越慢。
【解答】:(C)

( )112. 右圖是甲、乙兩車的位置(x)與時間(t)關係,下列何者錯誤?
(A)若甲向南運動,則乙向北 (B)甲車的速度大小為2m/s
(C)乙車的速度大小為2m/s
(D)甲乙兩車在5秒時相遇。
【解答】:(B)
( )113. 下列有關等速度運動的敘述,何者正確?
(A)直線運動一定是等速度運動 (B)等速率運動一定是等速度運動 (C)單擺實驗中單擺的擺動屬於等速度運動
(D)等速度運動的物體其平均速度會等於瞬時速度。
【解答】:(D)
( )114. 右圖中甲、乙兩圖是進行滑車速度測量實驗時,利用兩個不同的打點計時器,分別在甲、乙兩小車拉動紙帶時所打的點痕。甲圖紙帶上相鄰兩點的距離皆為0.5cm,乙圖紙帶上相鄰兩點的距離皆為1.0cm。若甲圖的打點計時器頻率為20Hz,乙圖的打點計時器頻率為10Hz,則甲、乙兩小車運動速率的關係,下列何者正確?
(A)甲車的速率>乙車的速率 (B)甲車的速率=乙車的速率 (C)甲車的速率<乙車的速率 (D)資料不足,無法判斷。
【解答】:(C)
( )115. 若一物體不受任何的外力,則物體的狀態為何?
(A)物體必為靜止狀態 (B)物體必做等速度運動
(C)物體必做等速率運動 (D)物體可能為靜止狀態或做等速度運動。
【解答】:(D)
( )116. 在奧運的韻律體操比賽中,選手將手中的球垂直向空中拋出,下列敘述何者正確?
(A)球在上升的過程,加速度與速度方向同方向 (B)球在下降的過程,加速度與速度方向同方向 (C)球到最高點時速度為0,加速度也為0 (D)球上升與下降過程中受到的重力不同。
【解答】:(B)
( )117. 小球做加速度運動,其運動軌跡為打點計時器在小球後面所拉的紙帶上留下的點,如右圖,若打點計時器頻率為10Hz。則紙帶上每兩點間的時間為多少秒?
(A)0.05秒 (B)0.1秒 (C)0.5秒 (D)1秒。
【解答】:(B)
( )118. 承上題,小球在B點的瞬時速度為多少cm/s?
(A)10 (B)20 (C)30 (D)40。
【解答】:(C)
( )119. 承上題,小球的加速度為多少cm/s2?
(A)50 (B)100 (C)200 (D)400。
【解答】:(A)
( )120. 甲、乙兩車沿直線運動,其速度-時間關係為兩平行線,如右圖,則何者加速度較大?
(A)甲 (B)乙 (C)一樣大 (D)無法比較。
【解答】:(C)
( )121. 承上題,相同時間內,何者的位移較大?
(A)甲 (B)乙 (C)一樣大 (D)無法比較。
【解答】:(A)
( )122. 汽車在高速公路上接近收費站前開始緩慢的煞車而停止,之後加速離去。下列何者可說明其由減速行駛狀態至加速離去時的速度與時間的關係?

【解答】:(B)
( )123. 某物體的位置對時間關係如圖,其速度對時間的關係圖,應為下列何者?

【解答】:(A)
( )124. 將一球往上拋,不考慮空氣阻力,經8秒後球落回原處,請問球上升的最大高度為何?
(A)320 (B)160 (C)80 (D)100 (該處的重力加速度值=10.0公尺/秒2)
【解答】:(C)
( )125. 一道路限速40km/hr,而右圖為 阿強開車在此道路上某段時間內的速度(v)-時間(t)關係圖,請問在這段時間內阿強有沒有超速?
(A)沒有,因為車速最高為30m/s (B)有,因為車速最高為108km/hr (C)沒有,因為車子的平均速度只有22m/s (D)有,因為平均速度高達72km/
【解答】:(B)
( )126. A、B兩球同時自20公尺之高樓落下。若A、B兩球質量比為3:1,則落地前的瞬間,A、B兩球之比較?
(A)所受重力比為3:1 (B)所需時間比為3:1 (C)末速度比為1:3 (D)加速度比為1:3。
【解答】:(A)
( )127. 甲、乙兩車皆從原點同時出發,甲車的速度對時間的關係如圖(一)所示,乙車的位置對時間的關係如圖(二)所示,則兩車出發後,幾秒後會再相遇?
(A)5 (B)10 (C)15 (D)20。
【解答】:(D)
( )128. 若有一物體沿直線做加速度為2m/s2的等加速度運動,在某一瞬間,其速度為10m/s,則下列敘述何者正確?
(A)物體每秒速度的變化量為2m/s (B)物體每秒速度的變化量為-2m/s (C)前1秒物體的速度為12m/s (D)後1秒物體的速度為8m/s。
【解答】:(A)
( )129. 有隻螞蟻由下圖中的A點爬到B點,再由B點爬到C點,則螞蟻的總位移量與總路徑長各為多少公分?
(A)-6公分,6公分 (B)-6公分,12公分 (C)12公分,-6公分 (D)12公分,12公分。
【解答】:(B)
( )130. 阿兩沿半徑100公尺的圓形操場跑四分之一圈,其位移大小約為多少公尺?
(A)100公尺 (B)157公尺 (C)141公尺 (D)0公尺。
【解答】:(C)
( )131. 小強自製沖天炮,當沖天炮一飛沖天時,其速度(v)與時間(t)的關係圖如下,若向上的速度為正,則沖天炮何時開始下降?
(A)第8秒時 (B)第5秒時 (C)第2秒時 (D)第1秒時。
【解答】:(B)
( )132. 關於位置的描述,下列何者最明確?
(A)學校離我家200公尺 (B)學校在我家的東方 (C)學校離我家很近 (D)學校在我家東方200公尺處。
【解答】:(D)
( )133. 小華與小明兩人沿同一直線移動,其位置(x)與時間(t)的關係如右圖,則下列敘述何者正確?
(A)兩人出發地點相同 (B)3秒內,兩者的平均速度相同 (C)3秒時,兩人相遇 (D)3秒時的瞬時速度,小明<小華。
【解答】:(C)
( )134. 高速公路上速限100公里/小時,請問此速限表示為何?
(A)瞬時速率 (B)平均速度 (C)平均速率 (D)以上均可。
【解答】:(A)
( )135. 小雯和家人於觀音登山步道健行,他幫爸爸計時,測得爸爸上山的速率為4.0公里/小時,下山的速率則為6.0公里/小時,則爸爸往返此登山步道一趟的平均速率為何?
(A)0 (B)4.8 (C)5 (D)10公里/小時。
【解答】:(B)
( )136. 下列關於等速度運動物體的描述,何者正確?(A)等速度運動不一定為直線運動
(B)等速度運動方向可能改變 (C)等速度運動中任何時段的速度一定相等 (D)繞操場圓形跑道以每秒5公尺的速率跑步也是一種等速度運動。
【解答】:(C)
( )137. 某物體做直線運動,其位置與時間的關係圖如右圖,則下列何者可表示此物體位置(x)與時間(t)的關係?
(A)x=5+t (B)x=5+2t (C)x=10+t (D)x=10+2t。
【解答】:(A)
( )138. 下列關係圖中,何者代表等速度運動?

【解答】:(B)
( )139. 如圖是利用每秒拍攝20次的照相裝置所攝得某物體之運動情形,箭頭表示其運動方向,則關於此物體運動情形的敘述,下列何者正確?
(A)速度越來越快 (B)速度越來越慢 (C)作等速度運動 (D)速度方向不斷改變。
【解答】:(A)
( )140. 在南北向的直線公路上,一貨車加速向北方行駛,於10秒內其速度由18公里/小時均勻增至36公里/小時,則該貨車在此10秒內的位移為:
(A)18km (B)1.8km (C)270m (D)75m
【解答】:(D)
( )141. 右圖,某質點沿正X方向作等加速度運動,經過原點時開始計時,在時間t1=2.0秒與t2=4.0秒時,其位置分別距原點16公尺與40公尺,則此質點在t2之瞬時速度為多少公尺/秒?
(A)2 (B)14 (C)6 (D)10。
【解答】:(B)
( )142. 某車在筆直的公路上行駛,由速度為25m/s開始減速,其車速與時間關係如右圖,則由0∼10秒,此車共行駛多少距離?
(A)25m (B)35m (C)75m
(D)175m。
【解答】:(D)
( )143. 某運動物體初速度為10m/s向東,在歷經5秒後改以20m/s向西運動,則在此兩秒內的平均加速度為何?
(A)2 ,向東 (B)2 ,向西 (C)6 ,向東 (D)6 ,向西。
【解答】:(D)
( )144. 某一物體在直線上運動(向東為正),其速度-時間關係如右圖,則有關此物體在0∼10秒的運動情形,何者無法由圖中得知?
(A)此物體初速度為5m/s (B)此物體初位置在東方5m處 (C)此物體正進行等加速度運動 (D)此物體加速度為-0.5 。
【解答】:(B)
( )145. 小夫駕車在筆直的高速公路上以72公里/小時等速行駛,當他看見收費站而踩煞車,經過5秒後停止在收費站前,則車子的平均加速度應為何?
(A)14.4 (B)-14.4 (C)-4 (D)4 。
【解答】:(C)
( )146. 右圖為一輛汽車在筆直公路上行駛之速度-時間的關係圖,則此汽車在0∼10秒內的平均加速度為若干m/s2?
(A)19.5 (B)-1.25 (C)1.25 (D)-1.50 m/s2
【解答】:(D)
( )147. 將一物體垂直上拋,在物體上升到最高點的過程中,其位移(x)與時間(t)的關係圖較接近下列何者?

【解答】:(C)
( )148. 甲、乙兩車皆從原點同時出發,甲車的速度對時間的關係如圖(一)所示,乙車的位置對時間的關係如圖(二)所示,則兩車出發後,在距原點幾公尺處會再相遇?(A)20 (B)100 (C)200 (D)400公尺。
【解答】:(D)
( )149. 將一球由高樓處自由落下,不考慮空氣阻力,經4秒後球落至地面,則樓高幾公尺?
(A)40 (B)60 (C)80 (D)100(該處的重力加速度值=10公尺/秒2)
【解答】:(C)
( )150. 一物體由靜止作等加速直線運動,最初2秒走了20m,若全部行程為320m,走完全程尚需若干秒?
(A)6秒 (B)12秒 (C)8秒 (D)10秒。
【解答】:(A)
( )151. 一火箭由海平面升空,若其速度對時間的關係圖如右,則下列何者正確?
(A)第5秒達最大高度 (B)其所能上升的最大高度為750m (C)當T=20秒時的瞬時速度為50m/s (D)當T=20秒時,離地高度為875m。
【解答】:(B)
( )152. 阿呆利用彈弓向上彈出一小石頭,右表是小石頭高度-時間關係,下列何者正確?
(A)小石頭作等速度運動 (B)小石頭作等加速度運動,且加速度>0 (C)小石頭在0.6秒時,位於最高點,且速度為0 (D)小石頭在0.7秒時,向下運動且速度漸快。
【解答】:(D)
|